I want to align three elements inside a pmatrix around a character that is inside a \left( ... \right) construction. Comments here have told me that the & alignment character does not work inside such a construction, which is why I get an error message reading "Misplaced &" when I attempt it.
Here's what I'm typesetting:
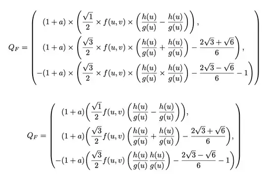
$$
Q_F = \begin{pmatrix}\begin{aligned}
(1 + a) × \left(\frac{\sqrt{1}}{2} × &f(u, v) × \left(\frac{h(u)}{g(u)} - \frac{h(u)}{g(u)}\right)\right), \\
(1 + a) × \left(\frac{\sqrt{3}}{2} × &f(u, v) × \left(\frac{h(u)}{g(u)} + \frac{h(u)}{g(u)}\right) - \frac{2 \sqrt{3} + \sqrt{6}}{6}\right), \\
-(1 + a) × \left(\frac{\sqrt{3}}{2} × &f(u, v) × \left(\frac{h(u)}{g(u)} × \frac{h(u)}{g(u)}\right) - \frac{2 \sqrt{3} - \sqrt{6}}{6} - 1\right)
\end{aligned}\end{pmatrix}
$$
And here's what I want it to look like, approximated by adding a bunch of \; space characters:

Is there a better way to line up the elements on the "f(u, v)" text instead of throwing in a bunch of extra space characters to force the issue?

alignis a top level display element you can not use it inside anything else perhaps you meant to usealigned– David Carlisle Jan 24 '24 at 14:25aligned. – Lawton Jan 24 '24 at 14:41amsmathin your latex doc? – daleif Jan 24 '24 at 14:42\left...\rightaren't allowed to surround a&. – Teepeemm Jan 24 '24 at 14:42\left ... \rightconstructions. They cannot span&'s – daleif Jan 24 '24 at 14:43×does not map to anything usable – daleif Jan 24 '24 at 14:45&outside the first\leftwill give essentially the same result. – Dai Bowen Jan 24 '24 at 14:46&in front of the(1+a)on each line. Then your\left...\right's are allowed. – daleif Jan 24 '24 at 14:47