I have this MWE
\documentclass{book}
\usepackage{amsfonts}
\usepackage{amssymb}
\usepackage{amsmath}
\usepackage{versions}
%\excludeversion{teacher}
\includeversion{teacher}
\begin{document}
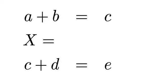
\begin{eqnarray}
a+b&=&c\
\begin{teacher}X = \end{teacher}\
c+d&=&e\
\end{eqnarray}
\end{document}
This works fine, but I like to align = nicely.
As soon as I use \begin{teacher}X &=& \end{teacher}\\
I get the error:
! Extra }, or forgotten \endgroup. } $@eqnsel \endtemplate l.13 \begin{teacher}X & =& \end{teacher}\

\begin{teacher}X\end{teacher} &\begin{teacher}=\end{teacher}&\\– samcarter_is_at_topanswers.xyz Feb 13 '24 at 16:51eqnarray. – egreg Feb 13 '24 at 21:58