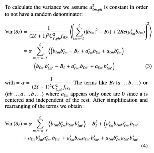
Here below the rendering of Latex code snippet : I can't get to make display the right expectation symbol ( \right> ) on the second line of a splitted equations (on both eq(3) and eq(4))
\noindent To calculate the variance we assume ${a_{\ell m, p h}^2}$ is constant in order to not have a random denominator:
\begin{align}
\operatorname{Var}\left(\hat{o}_{\ell}\right) &=\dfrac{1}{(2 \ell+1)^2C_{\ell, p h}^2 f_{\text{sky}}} \left<\left(\sum_{m=-\ell}^{\ell} (|b_{\ell m}|^2 - B_\ell) + 2Re(a_{\ell m}^*b_{\ell m}) \right)^2 \right> \nonumber \\
&=\alpha \sum_{m,m' =-\ell}^{\ell}
\left<\left(b_{\ell m}b_{\ell m}^* - B_\ell + a_{\ell m}^*b_{\ell m}+a_{\ell m}b_{\ell m}^* \right)\nonumber \\
&\quad\quad\left(b_{\ell m'}b_{\ell m'}^* - B_\ell + a_{\ell m'}^*b_{\ell m'}+a_{\ell m'}b_{\ell m'}^*\right)\right>
\end{align}
\text{with $=\alpha= \dfrac{1}{(2 \ell+1)^2C_{\ell, p h}^2 f_{\text{sky}}}$}
The terms like $B_\ell \left< a\dots b \dots\right>$ or $\left<bb\dots a\dots b \dots\right>$ where $a_{\ell m}$ appears only once are 0 since a is centered and independent of the rest. After simplification and rearranging of the terms we obtain :
\begin{align}
\operatorname{Var}\left(\hat{o}_{\ell}\right)&=\alpha \sum_{m,m' =-\ell}^{\ell}
\left<b_{\ell m}b_{\ell m}^*b_{\ell m'}b_{\ell m'}^*\right> - B_\ell^2 +\left<a_{\ell m}^*b_{\ell m}a_{\ell m'}^*b_{\ell m'}\nonumber \\
&+a_{\ell m}b_{\ell m}^*a_{\ell m'}^*b_{\ell m'}+a_{\ell m}^*b_{\ell m}a_{\ell m'}b_{\ell m'}^*+a_{\ell m}b_{\ell m}^*a_{\ell m'}b_{\ell m'}^*\right> \nonumber \\
\end{align}
Here the capture of rendering :
How to make appear these missing \right> expectation symbols ?


\left...\rightacross a group (which is what is happening here. You can use\bigl...\bigr(and friends) as recommended here: Left/Right across multi-line equation; Using\left(&\right)aroundamsmath's align delimiter ("&") (possible duplicates). – Werner Feb 15 '24 at 23:26