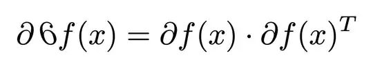
I am writing some document where I use the Jacobian matrix $\partial f(x)$ of some function $f$ at a point $x$. I would like to define a symbol for the Gramian matrix of this Jacobian $\partial f(x) \partial f(x)^T$ and I was thinking that something like having the $\partial$ symbol followed by the same symbol horizontally flipped would help the reading. Any idea on how to do that in math mode ?
Asked
Active
Viewed 54 times
0
-
An idea: https://tex.stackexchange.com/a/656211/82917 – campa Feb 18 '24 at 13:00
-
If you are doing a transpose, your symbol should be both reflected AND rotated by 90 degrees counterclockwise. :) – Willie Wong Feb 19 '24 at 02:02
1 Answers
1
I'm not sure it's a good idea, not only because it's a highly nonstandard symbol.
\documentclass{article}
\usepackage{graphicx}
\makeatletter
\NewDocumentCommand{\gramian}{}{\partial,{\mathpalette\gramian@\relax}}
\newcommand{\gramian@}[2]{\reflectbox{$\m@th#1\partial$}}
\makeatother
\begin{document}
[
\gramian f(x)=\partial f(x)\cdot \partial f(x)^T
]
\end{document}
egreg
- 1,121,712
-
Also it is very nice looking. Would you have any recomendation on an other way of doing that ? I was also thinking of using $\eth f(x)$ but this is not ideal either. Also any idea why it is tilted ? – P. Quinton Feb 18 '24 at 15:05
-
@P.Quinton I find it gruesome, to be honest. The tilt is the same (reflected, of course), but just appears to be bigger. – egreg Feb 18 '24 at 15:33
-
-
Actually is there a way to untilt the original and then do exactly the same ? If then we remove the space this might actually be a bit prettier – P. Quinton Feb 18 '24 at 15:39
-
@P.Quinton See https://tex.stackexchange.com/q/80104/4427, but not the accepted answer. – egreg Feb 18 '24 at 17:08
