I'm having a spacing glitch with the last of these four quantum states, and I'm wondering if there's a way to get a better output:
\documentclass[12pt,letterpaper,twoside]{book}
\usepackage{lmodern}
\usepackage{amsmath}
\usepackage{tensor}
\usepackage{mathtools}
\newcommand*{\kp}[1]{\mskip+#1mu}
\newcommand*{\kn}[1]{\mskip-#1mu}
\begin{document}
\begin{subequations}
\begin{align}
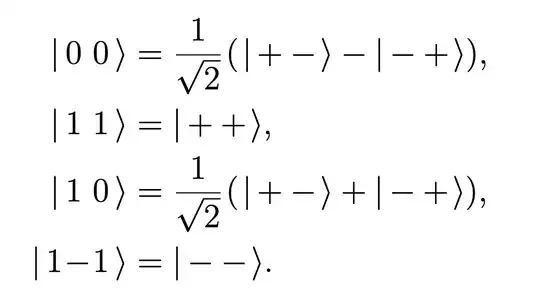
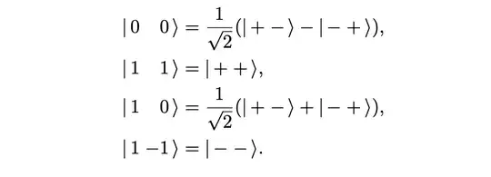
|, 0~0 , \rangle &= \frac{1}{\sqrt{2}} \kp1 (\kp2 |\kn1+ - \kp2 \rangle - |\kn1- + \kp2 \rangle), \
|, 1~1 , \rangle &= |\kn1+ + \kp2 \rangle, \
|,1~0 , \rangle &= \frac{1}{\sqrt{2}} \kp1 (\kp2 |\kn1+ - \kp2 \rangle + |\kn1- + \kp2 \rangle), \
|, 1!-!1 , \rangle &= |\kn1 - - \kp2 \rangle.
\end{align}
\end{subequations}
\end{document}
Preview of what this code is doing:
The last expression is ugly to my eyes, because of the minus sign. Is there a way to get something that matches the size of the other lines, like a smaller minus sign?




amssymbhas something which looks like a short minus https://tex.stackexchange.com/a/469724/82917 – campa Mar 01 '24 at 15:22