In order to have a clearer presentation and slides with less text all at once, I'd like to display the variable first, then the inequality for each line. The code works almost fine (equation numbering, progressive display) except for the space left empty with the variable line. How can I remove this space? I thought I understood that \onslide could recover the space unlike \uncover, but it doesn't work.
I have the impression that there may be a conflict between the amsmath package and \onslide. Which : \only or \onslide ? (Beamer)
\documentclass{beamer}
\usepackage{amsmath}
\usepackage{amsfonts}
\usepackage{amssymb}
\begin{document}
\begin{frame}{Titre de la Diapositive}
\begin{subequations}\label{eq:power}
\begin{align}
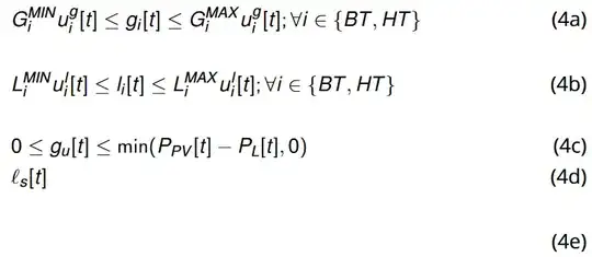
\onslide<1-1>{& g_i[t]; \forall i \in {BT, HT} \label{eq:bound_gen} \}
\onslide<2->{& G_i^{MIN} u_i^g[t] \leq g_i[t] \leq G_i^{MAX} u_i^g[t]; \forall i \in {BT, HT} \tag{\ref{eq:bound_gen}} \}
\onslide<3-3>{& l_i[t]; \forall i \in {BT, HT} \label{eq:bound_load} \}
\onslide<4->{& L_i^{MIN} u_i^l[t] \leq l_i[t] \leq L_i^{MAX} u_i^l[t]; \forall i \in {BT, HT} \tag{\ref{eq:bound_load}} \}
\onslide<5-5>{& g_{u}[t] \label{eq:bound_under} \}
\onslide<6->{& 0 \leq g_{u}[t] \leq \min( P_{PV}[t] - P_{L}[t] , 0) \tag{\ref{eq:bound_under}} \}
\onslide<7-7>{&\ell_{s}[t] \label{eq:bound_over} \}
\onslide<8->{& 0 \leq \ell_{s}[t] \leq \max( P_{PV}[t] - P_{L}[t] , 0) \tag{\ref{eq:bound_over}} \}
\onslide<9->{& u_{HT}^g[t] + u_{HT}^l[t] \leq 1 \label{eq:logic_ht}}
\end{align}
\end{subequations}
\end{frame}
\end{document}
In addition, the reference (4e) appears permanently. How can I make it appear last?
On figure an example of intermediate slide rendering, with large space left by hidden variables

