I have two consecutive subequation environments with no text in between, I would like to align the four equations in the two environments.
Current code:
\documentclass{article}
\usepackage{amsmath, nccmath}
\newcommand{\average}[2][2]{{%
\mspace{#1mu}\mspace{#1mu}\mspace{#1mu}%
\overline{\mspace{-#1mu}#2\mspace{-#1mu}\mspace{-#1mu}\relax}\mspace{#1mu}%
}}
\begin{document}
\begin{subequations}
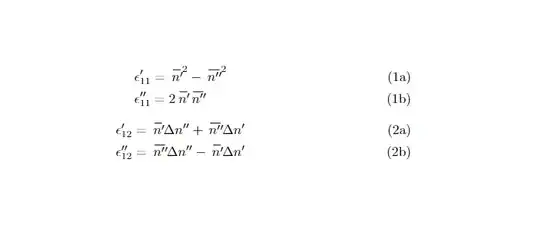
\begin{align}
\epsilon_{11}' &= {\average{n'}}^2 - \average{n''}^2\
\epsilon_{11}'' &= 2 \average{n'} \average{n''}
\end{align}
\end{subequations}
\useshortskip
\begin{subequations}
\begin{align}
\epsilon_{12}' &= \average{n'} \Delta n'' + \average{n''} \Delta n'\
\epsilon_{12}'' &= \average{n''} \Delta n'' - \average{n'} \Delta n'
\end{align}
\end{subequations}
\end{document}
Which produces:
Aligning all of the equals signs would look better, but I want to maintain the numbering as it is now to demonstrate which quantities are grouped.
Update:
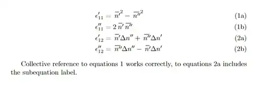
Using the solution from https://tex.stackexchange.com/a/701782/4427 does solve my alignment problem, but referring to the grouped equations collectively only works for the first set of subequations in the environment.
Updated code:
\documentclass{article}
\usepackage{amsmath, nccmath}
\newcommand{\average}[1]{{%
\mspace{6mu}%
\overline{\mspace{-2mu}#1\mspace{-4mu}\relax}\mspace{3mu}%
}}
\makeatletter
\newcommand{\stepsubequation}{%
\ifmeasuring@\else
\stepcounter{parentequation}%
\protected@xdef\theparentequation{\arabic{parentequation}}%
\ifdefined\theHparentequation
\protected@xdef\theHparentequation{\arabic{parentequation}}%
\fi
\setcounter{equation}{0}%
\fi
}
\makeatother
\begin{document}
\begin{subequations} \label{eq_eps11}
\begin{align}
\epsilon_{11}' &= {\average{n'}}^2 - \average{n''}^2\
\epsilon_{11}'' &= 2 \average{n'} \average{n''}\
\stepsubequation \label{eq_eps12}
\epsilon_{12}' &= \average{n'} \Delta n'' + \average{n''} \Delta n'\
\epsilon_{12}'' &= \average{n''} \Delta n'' - \average{n'} \Delta n'
\end{align}
\end{subequations}
Collective reference to equations~\ref{eq_eps11} works correctly, to equations~\ref{eq_eps12} includes the subequation label.
\end{document}
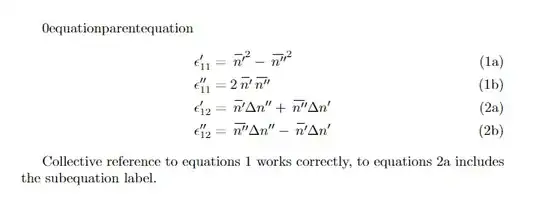
Updated output:
I tried the second solution from this question as well but this produces an undefined control sequence error pointing to the line with \begin{document}, I'm not well versed enough in TeX to understand what's going on unfortunately. The pdf output also seems to have some text from the preamble leaking into it somehow:


