\begin{equation*}
\psi(\omega) = \left.{\psi}\right|_{\omega=0} +
\omega \cdot
\underbrace {\left.\dfrac{d\psi}{d\omega}\right|_{\omega=0} }_{\left.\frac{\partial \psi}{\partial x}\right|_{\substack{{x =0} \\ {y=0}}}} \,+ \,\dfrac{\omega^2}{2} \,\cdot\, \underbrace {\left.\dfrac{d^2\psi}{d\omega \, d\omega}\right|_{\substack{\omega=0}}}_{\left.\frac{\partial \psi^2}{\partial x \partial x}\right|_{\substack{x=0 \\ y=0 }}} + \ldots +
\dfrac{\omega^p}{p!} \cdot \dfrac{d^p\psi}{d\omega \cdot \ldots \cdot d\omega}
\end{equation*}
- 1,834
- 1
- 13
- 13
- 3
-
1Welcome to TeX.SX! You can have a look at our starter guide to familiarize yourself further with our format. – jlab Mar 27 '24 at 17:05
-
You can safety add line breaks in your code to make it clearer (but do not leave empty lines). – jlab Mar 27 '24 at 17:07
2 Answers
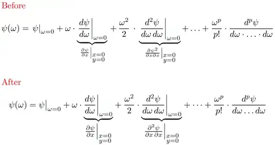
Rather than miniaturize the arguments of the \substack directives, I would increase the size of the associated fraction expressions, by using \tfrac instead of \frac.
\documentclass{article}
\usepackage{amsmath,xcolor}
\begin{document}
\textcolor{red}{Before}
\begin{equation}
\psi(\omega) = \left.{\psi}\right|{\omega=0} +
\omega \cdot
\underbrace {\left.\dfrac{d\psi}{d\omega}\right|{\omega=0} }{\left.\frac{\partial \psi}{\partial x}\right|{\substack{{x =0} \ {y=0}}}} ,+ ,\dfrac{\omega^2}{2} ,\cdot, \underbrace {\left.\dfrac{d^2\psi}{d\omega , d\omega}\right|{\substack{\omega=0}}}{\left.\frac{\partial \psi^2}{\partial x \partial x}\right|_{\substack{x=0 \ y=0 }}} + \ldots +
\dfrac{\omega^p}{p!} \cdot \dfrac{d^p\psi}{d\omega \cdot \ldots \cdot d\omega}
\end{equation}
\medskip
\textcolor{red}{After}
\begin{equation*}
\psi(\omega) = \psi\bigr|{\omega=0} +
\omega \cdot
{\underbrace {\frac{d\psi}{d\omega}\biggr|{\omega=0} }%
{\tfrac{\partial\psi}{\partial x}\Bigr|{\substack{x =0\y=0 }}}}
\frac{\omega^2}{2} \cdot
{\underbrace{\frac{d^2\psi}{d\omega,d\omega}\biggr|{\omega=0}}%
_{\tfrac{\partial^2\psi}{\partial x,\partial x}\Bigr|{\substack{x=0 \ y=0 }}}}
- \dots +
\frac{\omega^p}{p!} \cdot
\frac{d^p\psi}{d\omega \ldots d\omega}
\end{equation*}
\end{document}
- 506,678
LaTeX use 4 math styles: \displaystyle, \textstyle, \scriptstyle and \scriptscriptstyle. The smallest is \scriptscriptstyle.
\substack, like the subarray environment use \scriptstyle. As a workaround, force \scriptscriptstyle inside:
\substack{\scriptscriptstyle x =0 \\ \scriptscriptstyle y=0}
- 1,834
- 1
- 13

