{polynom} is for the questions relating to the polynom package, which offers macros to manipulate polynomials, most notably to typeset polynomial long divisions.
polynom is for the questions relating to the polynom package, which offers macros to manipulate polynomials, most notably to typeset polynomial long divisions.
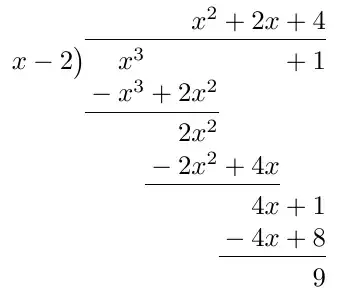
E.g. of use: \polylongdiv{x^3+1){x-2} yields
