Here's my attempt at this. Looking at the problem, it seems you need three things:
- Each row should have two columns.
- The first column should be centered, and the second column should be aligned (say) a
\quad to the right of it.
- The lines should be numbered.
Multiple columns suggests align; centering of equations suggests gather. You can't have both at once, though you could do parallel aligned and gathered subenvironments as in this answer of mine...except that would give only one number for the whole display, violating the last requirement. A tabular would be perfect for the combination of the first two requirements, but that also doesn't number its lines. Still, there is no other environment that treats each line as a whole and also allows control over the alignment of each column, so tabular it is.
Well, tabu. I don't really use any special features but it's a complete improvement over the built-in tabular so I should advocate for it. I do the following:
- There are, as promised, two columns of type
c and l.
- Between them there is a
\quad by default.
- Before the first column, we set up the line numbering by calling
\refstepcounter on equation, the counter used by all the equation environments (including align and gather). Alas, this only sets the label locally, and thus it is forgotten once we reach the actual text where you might write \label, so I am forced to do some hackery with \@currentlabel to globalize it.
- After that, we make a box the width of the entire line, stick a line number at the right end of it, and then declare the whole thing to have width zero so as not to disturb the rest of the table. That is, the line number is an overlay on the line. This is not how the
amsmath environments do it, so it will cause problems if your lines are unusually long (or the page is unusually narrow).
- Everything is between
$$ so as to set it off as a display, like a real equation. Do not ever use this in real life! It's a literally primitive command and I only did it because I really want only the primitive behavior, not the stuff that makes equation work well.
- For convenience, the whole thing is packaged as an environment I call
align+ for lack of a better name.
I also wrote a simple macro \forallt to shorten the stuff in the second column. Now you can use it basically like you'd use any array environment.
\documentclass{article}
\usepackage{amsmath,tabu}
\makeatletter
\newenvironment{align+}
{$$\tabu
{
@{\refstepcounter{equation}%
\global\let\@currentlabel\@currentlabel
\rlap{\makebox[\linewidth]{\hfil$(\theequation)$}}
}%
>{\displaystyle}c%
@{\quad}%
>{\displaystyle}l%
}
}
{\endtabu$$\ignorespacesafterend}
\makeatother
\newcommand*\forallt{\forall t \in T}
\begin{document}
\noindent
In the table below:
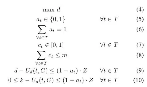
\begin{align+}
\label{eq1}\max d \\
a_t \in \{0,1\} & \forallt \\
\sum_{\forall t \in T} a_t = 1 \\
a_t \in [0,1] & \forallt \\
\label{eq5}\sum_{\forall t \in T} c_t \leq m \\
d - U_d(t, C) \leq (1-a_t) \cdot Z & \forallt \\
0 \leq k - U_a(t, C) \leq (1-a_t) \cdot Z & \forallt
\end{align+}
on lines \ref{eq1} and \ref{eq5}\dots
\end{document}

\maxis the preferred alternative to using\text{max}in maths environment. Plus its much neater! – oLas May 04 '13 at 18:44