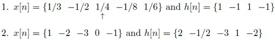
Is it possible to improve the alignment of the first item?
\documentclass{article}
\begin{document}
\begin{enumerate}
\item \begin{tabular}{cccccccccc}
$x[n] = $ & \{1/3 & -1/2 & 1/4 & -1/8 & 1/6\} & and\\
& & & $\uparrow$ & & & \\
\end{tabular}
\begin{tabular}{cccccccccc}
$h[n] = $ & \{1 & -1 & 1 & -1\} \\
& & & & & & \\
\end{tabular}
\item \begin{tabular}{cccccccccc}
$x[n] = $ & \{1 & -2 & -3 & 0 & -1\} & and\\
\end{tabular}
\begin{tabular}{cccccccccc}
$h[n] = $ & \{2 & -1/2 & -3 & 1 & -2\} \\
\end{tabular}
\end{enumerate}
\end{document}
The result is:





tabularcolumns, use the*{<num>}{<type>}notation. In your case,\begin{tabular}{*{10}{c}}. It's easier to debug and more readable. Also, consider keeping the numerals in math mode, which provides a consistent spacing around the unary operator-. – Werner May 16 '13 at 01:33\upparrowis a "n = 0" mark. – May 16 '13 at 09:28