You are using \dot to express a product; \dot is meant to put an accent (a dot) over its argument (as in the first \dot{\varepsilon}); for product you can use \cdot.
Don't use eqnarray, but one of the environments provided by amsmath (align, for example). Since your example doesn't require any special alignment, I used a simple equation environment.
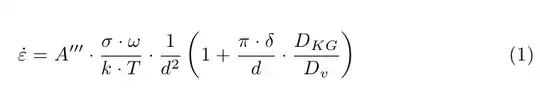
\prime as a superscript requires ^; so you can write A^{\prime\prime\prime} or simply A'''.
Perhaps this is what you need:
\documentclass{report}
\usepackage{amsmath}
\begin{document}
\begin{equation}
\dot{\varepsilon} = A^{\prime\prime\prime}\cdot\frac{\sigma\cdot\omega}{k\cdot T}\cdot\frac{1}{d^2}\left(1+\frac{\pi\cdot\delta}{d}\cdot\frac{D_{KG}}{D_v} \right)
\end{equation}
\end{document}

Seeing the font used in the image attached to the question, it seems that the fourier packages was used:
\documentclass{report}
\usepackage{amsmath}
\usepackage{fourier}
\begin{document}
\begin{equation}
\dot{\othervarepsilon} = A'''\cdot\frac{\othersigma\cdot\Omega}{k\cdot T}\cdot\frac{1}{d^2}\left(1+\frac{\otherpi\cdot\otherdelta}{d}\cdot\frac{D_{KG}}{D_v} \right)
\end{equation}
\end{document}

eqnarray, it is notamsmathand evil. It looks like you simply want to use theequationenvironment here. B) Italic is the usual way to typeset math (but there are packages for upright math, I assume). C) There are a few simple errors in your equation:\dotvs\cdot,\dotTvs\dot T/\cdot T,A'''vsA\prime…. D) I don't get your error. Can we see a minimal working example? – Qrrbrbirlbel May 26 '13 at 21:01\dotshould be\cdot, except for the first one:\dotproduces a dot over the following symbol. For multiplication you need\cdot. AlsoA'''is to be used for the primes. – egreg May 26 '13 at 21:03eqnarrayand usedequationand made the changes you both pointed to. So it's working now. I still need to know how to add bold and remove italic effects to my equations. – abdu May 26 '13 at 21:09\mathbf{<symbol>}. Do you want to remove math "italicized" font for all the math expressions (that would be rather unusual), or just for some symbols? – Gonzalo Medina May 26 '13 at 21:16upgreekpackage but it's not working I think because I'm usingamsmath. Any suggestion? – abdu May 26 '13 at 21:24