How do I format a list of questions like this?

I'm getting the equation on a new line below the i) when using enumerate and \list.
I don't want to get rid of \[ and \] either as I like the long integral sign
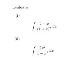
I get this instead:

How do I format a list of questions like this?

I'm getting the equation on a new line below the i) when using enumerate and \list.
I don't want to get rid of \[ and \] either as I like the long integral sign
I get this instead:

\begin{enumerate}
\item[(i)]
$\displaystyle\int_0^{\pi}\frac{x\sin{x}}{3+\sin^2{x}}\,\mathrm{d}x$
\end{enumerate}
and so on.
At a guess (it's hard to experiment without sample code) try: \(\displaystyle <your expression>\).
\documentclass{...}and ending with\end{document}. – Sean Allred Jul 01 '13 at 20:03