I hope I can put this the right way:
What I want from LaTeX is for example:
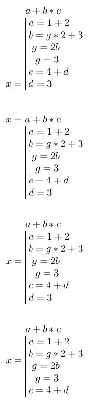
Example
a+b*c=
| a=1+2
| b=g*2+3
||g=2b
|||g=3
|c= 4+d
||d=3
and the | should be connected. Like a normal list with tabulator spaces.
Or if there is another way to show an equation as some kind of graphic that is connected.
What I found was xypic but this is not really what I'm looking for.
I could do it with a table, with the first column being connected and in there's a big vertical line, ….
Do you know something? Do you have any tip?
This is not just for pure maths.


