This code
\documentclass{article}
\usepackage{amsmath}
\begin{document}
\begin{align*}
\begin{split}
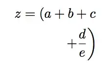
z = \left( a + b + c \right. \\
\left. + \frac{d}{e} \right)
\end{split}
\end{align*}
\end{document}
produces the following output:

The two delimiters have different sizes. A common trick to obtain matching sizes is to use \vphantom like so:
\documentclass{article}
\usepackage{amsmath}
\begin{document}
\begin{align*}
\begin{split}
z = \left( a + b + c +\vphantom{\frac{d}{e}}\right. \\
\left. + \frac{d}{e} \right)
\end{split}
\end{align*}
\end{document}
which produces the following output:

However, such an approach
- becomes rapidly complex as the number of line breaks increases;
- is not maintainable at all (because, if a line's contents change, the argument of
\vphantommay have to be modified as well to obtain the desired output).
Alternative approach 1: manually size the delimiters (using \big and the likes). Sadly, that's not very maintainable either.
Alternative approach 2: using some math environment provided by the breqn package, which allows for line breaks between two \left/\right delimiters and takes care of delimiter sizing. However, I'd like to stay away from breqn, if possible.
Can you think of a way to make associated \left/right\ delimiters to automatically have the same size despite line breaks, without (explicitly) using the \vphantom trick? Ideally, the solution should work for multiple nested pairs of delimiters. For example, in the following, the inner delimiters should have the same size and the outer delimiters should have the same size:
\left( \left( ... \right. \right. \\
\left. \left. ... \right) \right)



\Bigor even\biggland\biggrand Co, as suggested by egreg in his answer to this question – Jhor Jul 15 '13 at 17:20\bigr(...\bigl)– David Carlisle Jul 15 '13 at 17:22\left\rightmainly because it works rather than not works. – David Carlisle Jul 15 '13 at 17:35\left,\rightin all cases? – jub0bs Jul 15 '13 at 17:37\leftand\rightdo have their uses; in my documents you can surely find them. The fact is that most of the times I see them in others' input, they are misused. – egreg Jul 15 '13 at 17:49\left,\rightis appropriate? I can't seem to find such a canonical answer on TeX.SE. If there is none, I will ask that question. – jub0bs Jul 15 '13 at 17:54