I'm getting a bad box in the following (I can see in the PDF that the expression is shooting past the right edge of page contents):
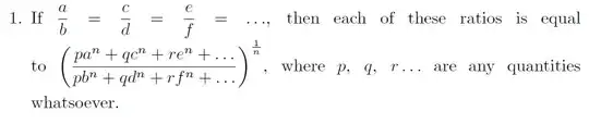
\item If $\dfrac{a}{b} = \dfrac{c}{d} = \dfrac{e}{f} = \ldots$, then each of these ratios
is equal to $\left( \dfrac {pa^n + qc^n + re^n + \ldots}{pb^n + qd^n + rf^n + \ldots}
right)^{\frac{1}{n}}$, where $p$, $q$, $r \ldots$ are any quantities whatsoever.
Is there an automatic setting that will shift the expressions to the next line? Or perhaps there's a better solution?



\dfracin text mode, prefer the slahed form. A big fraction such as the one in the middle should probably be displayed. Use\dotsbinstead of\ldotsin the big fraction (after+) and,\dotscin the last occurrence. – egreg Jul 27 '13 at 08:42\fracmakes the font smaller, which I don't want. Plus it doesn't solve the bad box problem. – ankush981 Jul 27 '13 at 08:44$a/b$, not$\frac{a}{b}$inline. But the bad break is due to the big fraction that shouldn't be inline. If the original is bad, why trying to replicate it? – egreg Jul 27 '13 at 08:51\sloppyor set\emergencystretch; however this wouldn't help in improving quality, and probably they'd do worse. – egreg Jul 27 '13 at 09:04