I am wondering if it is possible (and if so how) to add names to equations just underneath the equation number. I am just using the standard equation environment to display the equation centered in the middle of the page, with the equation number flushed to the right hand side. I need to put some text immediately below the equation number to serve as the equation's name. Other requirements include:
- The text should be horizontally right-aligned with the equation number and should not affect the latter's vertical alignment with the equation; i.e. the equation and equation number should still be vertically in line with each other.
- The vertical spacing between the equation number and name should be standard text spacing; i.e. if the equation is vertically tall, there should not be excess space between the equation number and name.
- The text should be able to be formatted in different font styles. Right now, I need to format it in
\sf.
Here is a MWE (without the equation name):
\documentclass{article}
\usepackage{amsmath}
\numberwithin{equation}{section}
\begin{document}
\section{First Section}
\label{sec:section1}
\begin{equation}
\label{eqn:label}
\boxed{M\approx\frac{\pi}{4}\left(\frac{2d}{\lambda_o}\right)^2\left(\mathrm{NA}\right)^2}
\end{equation}
Reference \eqref{eqn:label}.
\end{document}
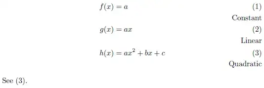
Here is a snapshot example of what I'd like to achieve (taken from Saleh, 2007):

I have tried using the \tag command, but realized that this not only replaces the equation number, which I do not want, but also causes the equation number counter to skip that particular equation. Ideally, the equation should still function as a regular numbered equation, that can be number-referenced (via \eqref or other), but with the addition of some text below the equation number.
Any help will be much appreciated.



