Is there any way to redefine all arrows in math mode (\rightarrow, \leftarrow, \Rightarrow, \Leftarrow, \to, etc.) to another arrows that finish with angle 90 TikZ option?
I have done some tries and I've got good results with normal math size:

Using the following code:
\documentclass{minimal}
\usepackage{tikz}
\usetikzlibrary{arrows}
%Redefine \rightarrow
\renewcommand{\rightarrow}{\mathbin{\tikz[baseline]\draw[arrows={-angle 90},yshift=0.75ex] (0,0) -- (.95em,0);}}
\begin{document}
%\mathchar"3221 is just the original code of \rightarrow
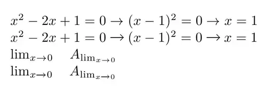
\noindent $x^2 - 2x + 1 = 0 \mathchar"3221 (x-1)^2 = 0 \mathchar"3221 x = 1$\\
$x^2 - 2x + 1 = 0 \rightarrow (x-1)^2 = 0 \rightarrow x = 1$
\end{document}
But I have problems when I use that arrow in special cases like limits, and I would like that all those arrows work in that situation (if possible):

I know that in this question is also explained how to get symbols that are like mine, but the package doesn't include the arrows that I would like to have. Also, I would like that that new arrows behave like normal characters, so if I put $2x \textcolor{red}{\rightarrow} 0$, I would obtain a red arrow.
Any idea or suggestion?


scalerelshould be able to scale it to the given math size. – Steven B. Segletes Aug 29 '13 at 17:50