I have two questions:
1) I can only let the items visible when clicking the screen, just adding up <2->. However, I don't know how the let the contents in the items do the same thing. It's not good to let them appear at the same time.
2) To make the formula be left. See my code, I have tried two methods but both of them fail.
More details, please see the picture and my code.

\documentclass[CJK]{beamer}
\usepackage{beamerthemesplit}
\usepackage[english]{babel}
\setbeamercovered{transparent}
\usepackage{amsmath}
\begin{document}
\begin{frame}
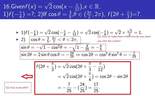
\frametitle{16.Given$f(x)=\sqrt{2}\cos (x-\frac{\pi}{12})$,$x\in \mathbb{R}$.\\
1)$f(-\frac{\pi}{6})=?$;
2)If $\cos \theta=\frac{3}{5}$,$\theta \in(\frac{3\pi}{2},2\pi)$, $f(2\theta+\frac{\pi}{3})$=?.}
%\vspace{-1cm}%delete the gap
\begin{itemize} \parsep 10pt %\itemsep 10pt
\item<2-> $1)f(-\frac{\pi}{6})=\sqrt{2}\cos (-\frac{\pi}{6}-\frac{\pi} {12})=\sqrt{2}\cos (-\frac{\pi}{4})=\sqrt{2}\times \frac{\sqrt{2}}{2}=1.$\\
\item<3-> 2) ∵$\cos \theta=\frac{3}{5},\frac{3\pi}{2}<\theta<2\pi$,
∴$\sin \theta=-\sqrt{1-cos^2\theta}=-\sqrt{1-\frac{9}{25}}=-\frac{4}{5}$
∴ $\sin 2\theta=2\sin \theta \cos\theta=-\frac{24}{25}\Rightarrow \cos 2\theta=\cos^2\theta \sin^2\theta=-\frac{7}{25}$
%\begin{flushleft} %fail to let the formula be left
%f(2\theta+\frac{\pi}{3})&=\sqrt{2}\cos (2\theta+\frac{\pi}{3}-\frac{\pi}{12})\\
%&=\sqrt{2}\cos (2\theta+\frac{\pi}{4})=\cos 2\theta-\sin2\theta\\
%&=-\frac{7}{25}-(\frac{24}{25})=\frac{17}{25}.
%\end{flushleft}
\begin{flalign*} % fail again
f(2\theta+\frac{\pi}{3})&=\sqrt{2}\cos (2\theta+\frac{\pi}{3}-\frac{\pi}{12})\\
&=\sqrt{2}\cos (2\theta+\frac{\pi}{4})=\cos 2\theta-\sin2\theta\\
&=-\frac{7}{25}-(\frac{24}{25})=\frac{17}{25}.
\end{flalign*}
\end{itemize}
\end{frame}
\end{document}
