Option 1
\documentclass[preview,border=12pt,varwidth]{standalone}% change it back to your own document class
\usepackage{amsmath}
\begin{document}
\abovedisplayskip=0pt\relax% remove this line in your production
\[
\int \frac{1}{\cos^2\left(5 - \frac{3x}{4}\right)}\,\mathrm{d}x
\]
\end{document}

Option 2
\documentclass[preview,border=12pt,varwidth]{standalone}% change it back to your own document class
\usepackage{amsmath}
\begin{document}
\abovedisplayskip=0pt\relax% remove this line in your production
\[
\int \frac{1}{\cos^2\left(5 - \frac{3}{4}x\right)}\,\mathrm{d}x
\]
\end{document}

Option 3
Prof. Enrico likes this style I think.
\documentclass[preview,border=12pt,varwidth]{standalone}% change it back to your own document class
\usepackage{amsmath}
\begin{document}
\abovedisplayskip=0pt\relax% remove this line in your production
\[
\int \frac{1}{\cos^2(5 - 3x/4)}\,\mathrm{d}x
\]
\end{document}

Option 4
By Thorsten Donig's comment below.
\documentclass[preview,border=12pt,varwidth]{standalone}% change it back to your own document class
\usepackage{amsmath,xfrac}
\begin{document}
\abovedisplayskip=0pt\relax% remove this line in your production
\[
\int \frac{1}{\cos^2 (5 - \sfrac{3x}{4})}\,\mathrm{d}x
\]
\end{document}

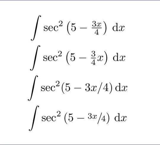
Option ∞
Based on Qrrbrbirlbel's and Egreg's comments below.
\documentclass[preview,border=12pt]{standalone}% change it back to your own document class
\usepackage{amsmath,xfrac}
\begin{document}
\abovedisplayskip=0pt\relax% remove this line in your production
\begin{gather*}
\int \sec^2\left(5 - \tfrac{3x}{4}\right)\,\mathrm{d}x \\
\int \sec^2\left(5 - \tfrac 3 4 x\right)\,\mathrm{d}x \\
\int \sec^2(5 - 3x/4)\,\mathrm{d}x \\
\int \sec^2\left(5 - \sfrac{3x}{4}\right)\,\mathrm{d}x
\end{gather*}
\end{document}

\intglyph is not scalable. And it shouldn’t be scaled really. But for what it’s worth: making a big summation sign – Qrrbrbirlbel Nov 24 '13 at 13:08$$in LaTeX. – egreg Nov 24 '13 at 13:24\frac(twice) instead of\dfrac. – Mico Nov 24 '13 at 13:38