In amsmath's aligned environment, the alignment of each "cell", or each "column" is predetermined, and seems to work in the following way: the first "column" is aligned to the right, the second to the left, the third to the right again, and so forth.
My question is, is there any way to adjust the alignment of each "cell" (left, center, or right)? As an example, I was trying to create a diagram with aligned:
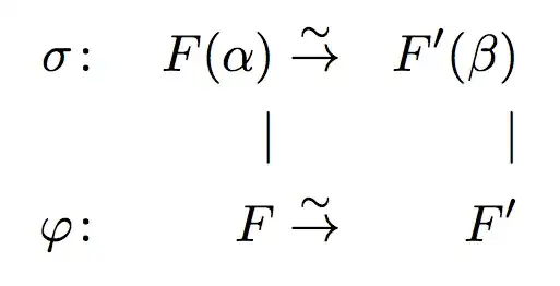
\[
\begin{aligned}
\sigma & \colon & F(\alpha) & \overset{\sim}{\to} & F'(\beta)\\
& & | & & |\\
\varphi & \colon & F & \overset{\sim}{\to} & F'
\end{aligned}
\]
The desired behavior is pretty obvious, but the actual output is





alignedmay not be the best choice for your particular example- trytikz-cdinstead. – cmhughes Dec 15 '13 at 06:12tabularwill be much more controllable. But that does not answer the question regardingaligned. – 4ae1e1 Dec 15 '13 at 06:15alignedis not meant to be used for commutative diagrams. (i believe this is documented, but if not or it isn't clear, i will add a request for that to happen.) if you have just a rectangular diagram, then have a look atamscd. for anything more complicated, a dedicated package for diagrams is warranted. – barbara beeton Dec 15 '13 at 20:15aligned, which I couldn't find anywhere, rather than trying to get the simple job done. (If I simply needed to get the job done, I would ask Google rather than TeX.SX, which is kind of a waste of resources, you know; anyway, thanks for pointing out the right tools.) That's why I accepted the not-so-elegant answer, as it is the only one that properly addressedaligned. – 4ae1e1 Dec 15 '13 at 23:55