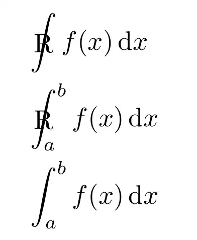
With the stackengine package, you have a solution which in not perfect, as it needs a manual correction for the lower bound. I define a \Rint maths operator as follows:
\documentclass[ a4paper]{article}
\usepackage[utf8]{inputenc}
\usepackage{mathtools}
\usepackage[]{stackengine}
\DeclareMathOperator{\Rint}{\ensurestackMath{\stackinset{c}{0pt}{c}{0pt}{\mathrm R}{\displaystyle\int}}}
\newlength\correct
\settowidth{\correct}{\ensuremath{\displaystyle\int}}
\begin{document}
\begin{align*}
& \Rint f(x) \,\mathrm d x \\
& \Rint_{\hspace*{-0.5\correct}a}^b f(x) \,\mathrm d x \\
& \int_a^b f(x) \,\mathrm d x
\end{align*}
\end{document}

Using \mathchoice, one could define \Rint for textstyle, scriptstyle and scriptscriptstyle. If you're not quite satisfied with the placement of R, you can change the values of 0pt and 0pt (which are horizontal and vertical shifts) to something else.
Added: Steven B. Segletes's suggestion not to have a manual adjustment for the lower bound of the integral, and also also the use of \mathchoice:
\documentclass[ a4paper]{article}
\usepackage[utf8]{inputenc}
\usepackage{mathtools}
\usepackage[]{stackengine}
\newlength\tmplength
\def\showmybox{\tmplength=\wd0\relax\box0\kern-\tmplength}
\def\mybox#1{\setbox0=\hbox{\ensurestackMath{#1}}}
\def\SIn#1#2{\stackinset{c}{#1}{c}{#2}}
\def\Rint{\mathchoice%
{\mybox{\SIn{0.7pt}{0pt}{\mathrm R}{\displaystyle\phantom{int}}}\showmybox}% 0pt
{\mybox{\SIn{-1.2pt}{0pt}{\scriptstyle\mathrm R}{\textstyle\phantom{int}}}\showmybox}% -1.5pt
{\mybox{\SIn{-1.1pt}{0pt}{\scriptscriptstyle\mathrm R}{\scriptstyle\phantom{int}}}\showmybox}%
{\mybox{\SIn{-1.65pt}{0pt}{\scalebox{0.7}{$\scriptscriptstyle\mathrm R$}}{%
\scriptscriptstyle\phantom{int}}}\showmybox}%
\int}
\begin{document}
\begin{align*}
& \Rint f(x) \,\mathrm d x \\
& \Rint_{a}^b f(x) \,\mathrm d x \\%
& \textstyle \Rint_a^b f(x) \,\mathrm d x \\
& \scriptstyle \Rint_a^b f(x) \,\mathrm d x \\
& \scriptscriptstyle \Rint_a^b f(x) \,\mathrm d x \\
\end{align*}
\end{document}

Of course the values chosen for hoffset, in the terminology of stackengine will depend on the font that's used.
\documentclass{...}and ending with\end{document}, in your case this most probably means\amsmathetc. – Apr 14 '14 at 14:08