I am trying to create a display equation showing the coefficients of an example polynomial for use in the quadratic formula. Basically, I want each coefficient of the polynomial to have an arrow pointing to it, and then below that the variable.
I used this code:
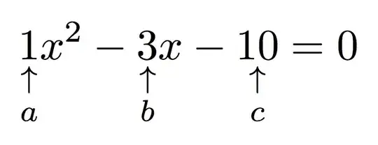
\underset{\underset{a}{\uparrow}}{1} x^2-\underset{\underset{b}{\uparrow}}3 x-\underset{\underset{c}{\uparrow}}{10}=\underset{\underset {x}{\uparrow}}{0}
To create this example:

The nested \undersets properly align the arrows and variables with each coefficient in the sample equation.
The only problem is that the baseline of the "b" is much lower than the baseline of the other variables. How do I get the baselines of the underset elements to line up, kind of like in this image:



\mathstrutto all\underset: for instance\underset{\mathstrut a}{\uparrow}– egreg Oct 25 '14 at 20:58