I have to insert some mathematica code in my latex document. For that, I'm using the answer given here by user Ronny. Is it possible to add sth that would make my comments look grey in the resulting pdf document?
Thanks
I have to insert some mathematica code in my latex document. For that, I'm using the answer given here by user Ronny. Is it possible to add sth that would make my comments look grey in the resulting pdf document?
Thanks
You can use commentstyle=\color{gray}. Taking the code from answer linked by OP in the question:
\documentclass{article}
\usepackage{listings,framed,xcolor,amsmath}
\colorlet{shadecolor}{blue!20}
\lstnewenvironment{mat}
{\lstset{language=mathematica,mathescape,columns=flexible,commentstyle=\color{gray}}}
{}
\begin{document}
\begin{align}
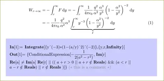
\nonumber W_{r → ∞}=&-∫_{r}^{∞}\!F\,\mathrm{d}y=- ∫_r^∞ \! \dfrac{1}{4π\epsilon₀} \dfrac{q²}{\alpha²} \dfrac{\alpha³}{y³}\left(1- \dfrac{\alpha²} {y²}\right)⁻²\,\mathrm{d}y\\
=&-\dfrac{1}{4π\epsilon₀} \dfrac{q²}{\alpha²}\alpha³ \underbrace{∫_r^∞ \! y⁻³ \left(1-\dfrac{\alpha²} {y²}\right)⁻² \,\mathrm{d}y}_{I} \label{eq:WcondI}
\end{align}
\begin{shaded}
\begin{mat}
In[1]:= Integrate[{y^(-3)*(1-(a/y)²)^(-2)},{y,r,Infinity}]
Out[1]= {ConditionalExpression[$\displaystyle-\frac{1}{2(a²-r²)}$, Im[r]
Re[a] $ ≠ $ Im[a] Re[r] || (( $a+r>0$ || $a+r ∉ $ Reals) && ($a<r$ ||
$a-r ∉ $ Reals) || $r ∉ $ Reals )]} (* this is a comment *)
\end{mat}
\end{shaded}
\end{document}

Would you mind taking a look also at this question of mine? ;) http://tex.stackexchange.com/questions/214300/including-mathematica-code-in-book-type-document
– An old man in the sea. Nov 27 '14 at 15:19