I have
\begin{eqnarray*}
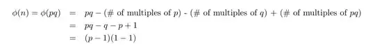
\phi(n) = \phi(pq) = & pq - (\# of multiples of p) - (\# of multiples of q) + (\# of multiples of pq) \\
& = & pq - q - p +1 \\
& = & (p-1)(1-1) \\
\end{eqnarray*}
But the last two equations on the RHS are to the far right and not aligned under the first RHS equation.
Also I get "# of multiples of p" all bunched up together .. how do i fix that?


\textcommand, i.e.\text{$\#$ of multiples of $p$}. – moewe Dec 04 '14 at 05:40eqnarrayvsalign. – Werner Dec 04 '14 at 05:43#are different, it's not necessary to surround the\#particles with$symbols, right? – Mico Dec 04 '14 at 06:05#in this context (if there is a difference). – moewe Dec 04 '14 at 06:24