I want to figure out how I can align a system of linear equations very nicely.
At the moment I am using the following command:
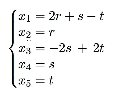
\systeme{x_1=2r + s -t,x_2= r, x_3=-2s +2t, x_4=s, x_5=t}
But this gives me something ugly in staircase form, like:

Any way I could fix it so the x_i's are all at the left side, nicely underneath each other, and possibly with the equation signs also aligned?
Here is a MWE:
\documentclass[11pt,a4paper,openany]{report}
\usepackage{amssymb,amsmath,amsthm}
\usepackage[dutch]{babel}
\usepackage{mdframed}
\usepackage{systeme,mathtools}
\makeatletter
\renewcommand*\env@matrix[1][*\c@MaxMatrixCols c]{%
\hskip -\arraycolsep
\let\@ifnextchar\new@ifnextchar
\array{#1}}
\makeatother
\usepackage{lipsum}
\usepackage{relsize}
\newcommand\md{\ }
\begin{document}
\systeme{x_1=2r + s -t,x_2= r, x_3=-2s +2t, x_4=s, x_5=t}
\end{document}






alignor one of its variants fromamsmathbut it is impossible to comment on your code as\systemeis not a standard plain or latex command and you give no indication of its definition. – David Carlisle Jan 04 '15 at 23:31\documentclass...and ending with\end{document}. That way, people will not have to spend time gradually extracting every essential detail from you, only to find they overlooked something after spending time posting an answer. – cfr Jan 04 '15 at 23:39\systemeis, I had never heard of the command searching around suggests you are using a package of the same name and using latex, but you really should provide a complete example from\documentclassto\end{document}by editing the above question – David Carlisle Jan 04 '15 at 23:41{}button in the editor which will make it a code section, as I did in my edits to your one line example – David Carlisle Jan 04 '15 at 23:45\systeme*– egreg Jan 05 '15 at 00:00