Actually, \[...\] is not a replacement or shorthand for $$...$$. It's preferred due to improved vertical spacing; see Why is \[ … \] preferable to $$ … $$?.
Also, eqnarray does not provide the best horizontal spacing around operators.
If shorthand is what you're after, then you could use \be...\ee as an alternative to \begin{eqnarray*}...\end{eqnarray*} where
\newcommand{\ba}{\begin{eqnarray*}}
\newcommand{\ea}{\end{eqnarray*}}
I would not recommend it though.
Perhaps you're stuck on the notation used by eqnarray:
... & .. & ... \\
... & .. & ...
In that sense, you may be interested in using the following alternative that combines the preferred notation \[...\] with the use of eqnarray's double-&:

\documentclass{article}
\usepackage{amsmath,array}
\newcommand{\ba}{% "\begin{eqnarray*}"
\[% Start display math
\renewcommand{\arraystretch}{1.4}% https://tex.stackexchange.com/q/31672/5764
\begin{array}{@{}r@{}>{{}}c<{{}}@{}l@{}}% Start a 3-column array
}
\newcommand{\ea}{% "\end{eqnarray*}"
\end{array}% End array
\]% End display math
}
\begin{document}
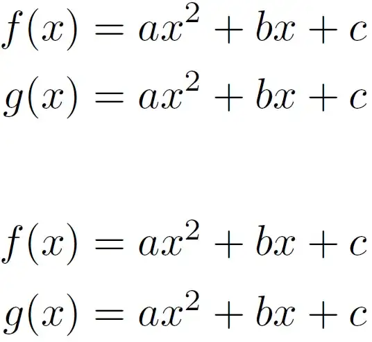
\begin{align*}
f(x) &= ax^2 + bx + c \\
g(x) &= ax^2 + bx + c
\end{align*}
\ba
f(x) &=& ax^2 + bx + c \\
g(x) &=& ax^2 + bx + c
\ea
\end{document}