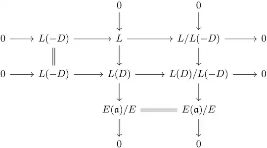
I have to draw the diagram in the following picture:

I'm trying to use this code but I cannot draw the vertical part.
\begin{tikzcd}
0 \arrow[r]
& L(-D) \arrow[r] \arrow[d]
& L \arrow[r] \arrow[d]
& L/L(-D) \arrow[r] \arrow[d]
& 0 \\
0 \arrow[r]
& L(-D) \arrow[r]
& L(D) \arrow[r]
& L(D)/L(-D) \arrow[r]
& 0 \\
\end{tikzcd}
Any ideas?

tikz-cd. – LaRiFaRi Mar 30 '15 at 15:27