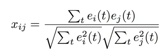
I have the following equation in my tex document:
\documentclass{article}
\begin{document}
\begin{equation}
x_{ij} = \frac{
\sum_{t}{e_i(t)e_j(t)}
} {
\sqrt{\sum_t{e_i^2(t)}}
\sqrt{\sum_t{e_j^2(t)}}
}
\end{equation}
\end{document}
The equation is printed like this:

The problem is that despite having almost the same content, the two square root symbols are rendered with a different size.
Is it possible to equalize the size of the two square root symbols?



\limitsspaces the numerator farther from the fraction line than desirable. a publisher's copyeditor would probably reject this formulation. – barbara beeton May 12 '15 at 16:24