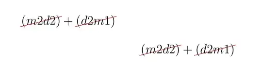
I have a problem in latex. I can't write like that picture. how to write like that.
Please.
I have a problem in latex. I can't write like that picture. how to write like that.
Please.
One way is to use the cancel package, but there might be other options with tikz.
\documentclass{article}
\usepackage{xcolor}
\usepackage{cancel}
\renewcommand{\CancelColor}{\color{red}} % Using red as colour
\begin{document}
\large
$\cancel{\left(m2d2\right)} + \cancel{\left(d2m1\right)}$
\[\cancel{\left(m2d2\right)} + \cancel{\left(d2m1\right)}\]
\end{document}

cancel ;-)
–
Jun 07 '15 at 04:15
xcolordoes not work, then trycolor. But this must be an old installation or it's incomplete – Jun 07 '15 at 06:18