Here's what my equation looks like; it's in an align* environment:

I want to put a circle around $\varepsilon \frac{dL}{d\varepsilon}$ and everything else unchanged.
Q: How do I draw a circle around a term in an
align*equation?
I found that \textcircled doesn't work in math mode and \tikz \node[circle,draw] { $\varepsilon \frac{dL}{d\varepsilon}$}; is not suitable as it shifts the term:

I get fairly close using \boxed{\varepsilon \frac{dL}{d\varepsilon}}, but it's not a circle:

Here's a working example:
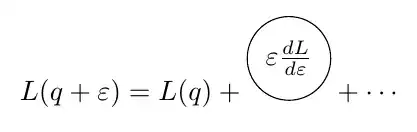
\documentclass{article}
\usepackage{amsmath,amssymb}
\begin{document}
\begin{align*}
L(q+\varepsilon) = L(q) + \varepsilon \frac{dL}{d\varepsilon} + \cdots \\
\end{align*}
\end{document}

$\m@th#1#2$. Would you please explain the code. – Fadwa Nov 18 '15 at 19:28\m@th: macro:->\mathsurround \z@. That is to say, it sets\mathsurroundto0pt. – Henri Menke Nov 18 '15 at 20:00\mathcircled{\mathcircled{\varepsilon \frac{dL}{d\varepsilon}}}, but the spacing between them is large besides i can't change the color of the other. would you please help. Thanks – Fadwa Nov 19 '15 at 05:21\dblmathcircled:\newcommand\dblmathcircled[1]{\mathpalette\@dblmathcircled{#1}} \newcommand\@dblmathcircled[2]{\tikz[baseline=(math.base)]\node[draw,circle,double,inner sep=1pt] (math) {$\m@th#1#2$};}. – Henri Menke Nov 19 '15 at 09:25