Possible Duplicate:
Vertically asymmetric size variation for parentheses
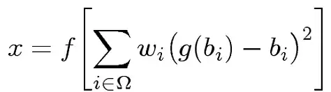
I'm trying to typeset something like the following:
\begin{equation}
x = f\Biggl[\sum_{i\in\Omega} w_i\bigl(g(b_i)-b_i\bigr)^2\Biggr]
\end{equation}
which looks like this:

Clearly the alignment is too high. But moving to the next size smaller (\bigg) makes it look a little too tight.
Is there a way to fix the vertical alignment?