6

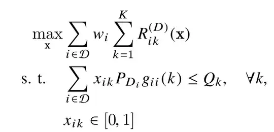
I would like to know what is this font called? How can I reproduce it? I know that it is neither \mathsf{} nor \mathcal{}.

Is there any reference where can I find all mathematical fonts?

enter image description here

Ribz
  • 657
  • 1
    Looks like TeX Gyre Termes, the default for newtxmath. – Bernard Jul 27 '15 at 22:53
  • 2
    Review this document https://tug.org/pracjourn/2006-1/hartke/hartke.pdf titled A Survey of Free Math Fonts for TeX and LaTeX. It provides not only examples but directions for installation and usage. p.s. Quickly found with Google search on latex math font catalogue pdf terms. – R. Schumacher Jul 27 '15 at 22:56
  • See also http://www.tug.dk/FontCatalogue/math.html. – cfr Jul 27 '15 at 23:04

2 Answers2

5

Something too close?

enter image description here

The main difficulty is with the "not \mathcal{D}" character. But, we can go too close using the Zapf Chancery characters. For these, we declare the math font:

\DeclareMathAlphabet{\mathpzc}{OT1}{pzc}{m}{it}      

The rest of the equation can be typeset with mathptmx.

\documentclass{article}
\usepackage{mathptmx}
\usepackage{amsmath}
\DeclareMathAlphabet{\mathpzc}{OT1}{pzc}{m}{it}
\begin{document}

\begin{equation}
\begin{aligned}
\max_{\mathbf{x}} \quad  & \sum_{i\in \mathpzc{D}}w_i \sum_{k = 1}^{K} R_{ik}^{(D)}(\mathbf{x}) \\
  \text{s. t.}\quad & \sum_{i\in \mathpzc{D}}x_{ik}P_{D_i}g_{ii}(k)\le Q_k, \quad\forall k, \\
                    & x_{ik}\in [0,1],
\end{aligned}
\end{equation}

\end{document}
AboAmmar
  • 46,352
  • 4
  • 58
  • 127
  • +1 for figuring out how to combine the Zapf Chancery-style "D" with the mathptmx package. :-) – Mico Jul 28 '15 at 00:18
  • Strangely the subscripts in the original example are not aligned, c.f. $x_{ik}$ and $g_{ii}^{(k)}, which force me to say maybe the math in @det's question wasn't created with LaTeX... – s__C Jul 28 '15 at 05:41
4

TeX Gyre Termes. There is a difference for the∀` symbol :

\documentclass{article}
\usepackage{newtxmath, newtxtext}

\begin{document}

\begin{align*}
  \max_{\mathbf{x}} & \sum_{i\in \mathcal{D}}w_i \sum_{k = 1}^{K} R_{ik}^{(D)}(\mathbf{x}) \\
  \text{s. t.}\quad & \sum_{i\in \mathcal{D}}x_{ik}P_{D_i}g_{ii}(k)\le Q_k, \quad\forall k, \\
                    & x_{ik}\in [0,1]
\end{align*}

\end{document} 

enter image description here

Bernard
  • 271,350
  • Quick remarks: parenthesis are not the same, spacing in the subscripts is not the same (bigger in your case), sum character is not the same. – s__C Jul 28 '15 at 05:35