As typography goes this is bad practice, but I suspect it is precisely what you want.
\documentclass{article}
\usepackage[paperwidth=10cm,showframe,
paperheight=3.2cm,
margin=0mm,bottom=5pt]{geometry}
\lineskip 1pt plus 1pt minus 1pt
\begin{document}
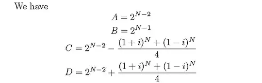
We have
\[ A= 2^{N-2} \]
\[ B= 2^{N-1} \]
\[ C= 2^{N-2}-\frac{(1+i)^N+(1-i)^N}{4} \]
\[ D= 2^{N-2}+\frac{(1+i)^N+(1-i)^N}{4} \]
\end{document}
The 5pt bottom margin appears to be a magic number for any descenders (any font size), even using a default \lineskip.
Even more dramatic results can be obtained using:
\lineskip=0pt plus 1fil
\begin{document}
\baselineskip=0pt
The downside is that only descenders (anything below the baseline) will go below the bottom margin.
An alternative is to put the baseline at the very bottom of each equation using \raisebox, only you can't put display mode math inside a \raisebox (at least not without using a \parbox, which leads to too much vertical space). Anyway, the following fakes display mode math (without equation numbers).
\documentclass{article}
\usepackage[paperwidth=10cm,
paperheight=3.2cm,
margin=0pt]{geometry}
\newcommand{\mybox}[1]% #1 = contents
{\ifvmode\vskip\lineskip\else\newline\fi
\centerline{\raisebox{\depth}{$\displaystyle #1$}}%
\vskip\lineskip}
\lineskip=1pt plus 1fil
\begin{document}
We have
\mybox{ A= 2^{N-2} }
\mybox{ B= 2^{N-1} }
\mybox{ C= 2^{N-2}-\frac{(1+i)^N+(1-i)^N}{4} }
\mybox{ D= 2^{N-2}+\frac{(1+i)^N+(1-i)^N}{4} }
\end{document}

\setlength{\topskip}{8pt}. – touhami Sep 21 '15 at 21:240mmbottom margin. – touhami Sep 21 '15 at 21:59\usepackage[paperwidth=10cm, paperheight=3.2cm, margin=0mm,bottom=.5\baselineskip]{geometry}– touhami Sep 21 '15 at 22:11tikzpicture? – Werner Sep 21 '15 at 22:35