I'm not much of a LaTeX jockey, but I use it to typeset equations via LaTeXIt. I'm noticing that LaTeXIt will cut off the typeset image if it exceeds a certain width - I've looked for a document width property but can't find one. I'd prefer to not split the equation across lines, but I'd like the image to capture the full width of the typeset equation. Is there a trick to remove this constraint?
I don't think I've modified the standard preamble, which I think LaTeXIt says is:
\documentclass[10pt]{article}
\usepackage{color} %used for font color
\usepackage{amssymb} %maths
\usepackage{amsmath} %maths
\usepackage{esdiff}
\usepackage[utf8]{inputenc} %useful to type directly diacritic characters
An example of a silly long equation that gets cut off is:
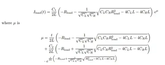
\operatorname{I_{{Load}}}{\left (t \right )} = \frac{C_{1}}{2 L} \left(- R_{{load}} - \frac{1}{\sqrt{C_{{L}}} \sqrt{C_{{R}}}} \sqrt{C_{{L}} C_{{R}} R_{{load}}^{2} - 4 C_{{L}} L - 4 C_{{R}} L}\right) e^{\frac{t}{2 L} \left(- R_{{load}} - \frac{1}{\sqrt{C_{{L}}} \sqrt{C_{{R}}}} \sqrt{C_{{L}} C_{{R}} R_{{load}}^{2} - 4 C_{{L}} L - 4 C_{{R}} L}\right)} + \frac{C_{2}}{2 L} \left(- R_{{load}} + \frac{1}{\sqrt{C_{{L}}} \sqrt{C_{{R}}}} \sqrt{C_{{L}} C_{{R}} R_{{load}}^{2} - 4 C_{{L}} L - 4 C_{{R}} L}\right) e^{\frac{t}{2 L} \left(- R_{{load}} + \frac{1}{\sqrt{C_{{L}}} \sqrt{C_{{R}}}} \sqrt{C_{{L}} C_{{R}} R_{{load}}^{2} - 4 C_{{L}} L - 4 C_{{R}} L}\right)}
In this case it is not well formatted because it is machine generated. The result I'm seeing is:


\documentclasscommand, has a minimal preamble and then\begin{document}...\end{document}. his makes it much easier for people to help you --- and much ore likely that they will! At a minimum, you should give us an example that causes your problem for LaTeXlt. – Feb 12 '16 at 06:46splitenvironment inside yourequation– BambOo Mar 24 '18 at 16:54\left...\rightcan't be broken across lines. – Andrew Swann May 15 '18 at 19:41