Unfortunately I cannot comment (too less reputation), because this is only an answer on top of the answer of egreg.
The best way to obtain proper sized brackets are left/right brackets, which resize depending on the size of the formula "in between" them. Therefore one should extend the answer of egreg to:
\documentclass{article}
\usepackage{amsmath}
\begin{document}
\[% the ugly
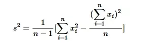
s^2 = \frac{1}{n-1}\biggl[\,\sum_{i=1}^n x_i^2 - \frac{\Bigl(\,\sum\limits_{i=1}^n x_i\Bigr)^{\!2}}{n} \biggr]
\]
\[% the bad
s^2 = \frac{1}{n-1}\biggl[\,\sum_{i=1}^n x_i^2 - \frac{\bigl(\sum_{i=1}^n x_i\bigr)^2}{n}\biggr]
\]
\[% the good
s^2 = \frac{1}{n-1}\biggl[\,\sum_{i=1}^n x_i^2 - \frac{1}{n}\biggl(\,\sum_{i=1}^n x_i\biggr)^{\!2}\,\biggr]
\]
\[% the better
s^2 = \frac{1}{n-1}\left[\sum_{i=1}^n x_i^2 - \frac{1}{n}\left(\sum_{i=1}^n x_i\right)^{\!2} \right]
\]
\[% the better but ugly
s^2 = \frac{1}{n-1}\left[\sum_{i=1}^n x_i^2 - \frac{\left(\sum\limits_{i=1}^n x_i\right)^{2}}{n} \right]
\]
\end{document}
By the left/right brackets it is also no problem to let the sum in the numerator, although (as the others) I would strongly recommend to omit this.

Further I would recommend to define somthing like
\renewcommand*{brr}[1]{\left(#1\right)} % bracket round
\renewcommand*{brs}[1]{\left[#1\right]} % bracket square
\renewcommand*{brc}[1]{\left\{#1\right\}} % bracket curly
To be able to adjust spacings through your whole document (compare the \, after the opening square bracket in examples 1-3 and the versions without (4 and 5).
$$ ... $$should be replaced by\[ ... \]in LaTeX – Au101 Mar 07 '16 at 02:12\biggl( ... \biggr)around the summation in the fraction to adjust those brackets (although here you could probably use\left( \right)without ill effect. – Au101 Mar 07 '16 at 02:32\limitsat all with the first summation. – Au101 Mar 07 '16 at 02:33\left[ ... \right]will produce the desired results... – Alex Nelson Mar 07 '16 at 03:25