3

I can't find a way to write a multi-line equation, which I would later refer to as on single equation, and write comments on some of rows.

The thing I want is pretty much like here:

Multi-row text comment in align environment

and here:

Show equation number only once in align environment

Is it possible to combine these?

Jakub Wagner
  • 215
  • 1
  • 6

1 Answers1

2

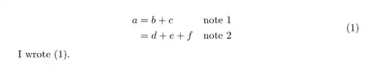
Instead of align, you may use aligned within an equation environment.

Code

\documentclass{article}
\usepackage{amsmath}
\begin{document}
\begin{equation}\label{my eq}
\begin{aligned}
  a&=b+c &&\text{note 1} \\
  &=d+e+f&&\text{note 2}
\end{aligned}
\end{equation}

I wrote \eqref{my eq}.
\end{document}

Output

enter image description here

Herr K.
  • 17,946
  • 4
  • 61
  • 118