The error is in setting \arraystretch to 3, because the setting is inherited also by the nested array environments.
With some visual formatting it's easier.
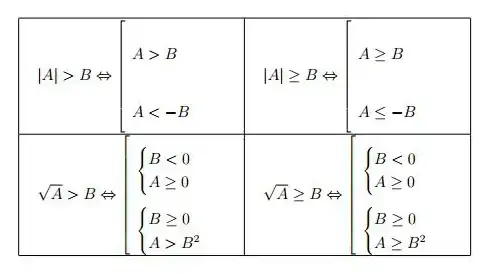
\documentclass[12pt,a4paper]{article}
\usepackage[latin1]{inputenc}
\usepackage{amsmath,amsfonts,amssymb}
\begin{document}
\begin{tabular}{|l|l|}
\hline
&\\[-.5\normalbaselineskip]
$|A|>B \Leftrightarrow
\left[
\begin{array}{l}
A > B
\\
A < -B
\end{array}
\right.$ &
$|A|\geq B \Leftrightarrow
\left[
\begin{array}{l}
A \geq B\\A\leq -B
\end{array}
\right.$
\\
&\\[-.5\normalbaselineskip]
\hline
&\\[-.5\normalbaselineskip]
$\sqrt{A}>B \Leftrightarrow
\left[
\begin{array}{l}
\begin{cases}B < 0\\A\geq 0\end{cases}
\\[4ex]
\begin{cases}B\geq 0\\A>B^2\end{cases}
\end{array}
\right.$ &
$\sqrt{A}\geq B \Leftrightarrow
\left[
\begin{array}{l}
\begin{cases}B < 0\\A\geq 0\end{cases}
\\[4ex]
\begin{cases}B\geq 0\\A\geq B^2\end{cases}
\end{array} \right.$ \\[2.75\normalbaselineskip]
\hline
\end{tabular}
\end{document}

A different implementation with booktabs:
\documentclass[12pt,a4paper]{article}
\usepackage{amsmath,booktabs,array}
\begin{document}
$\begin{array}{
@{}
l
@{}
>{{}}c<{{}}
@{}
l
@{\qquad}
l
@{}
>{{}}c<{{}}
@{}
l
@{}
}
\toprule
\addlinespace
|A|>B & \Leftrightarrow &
\left[
\begin{array}{l}
A > B
\\
A < -B
\end{array}
\right. &
|A|\geq B & \Leftrightarrow &
\left[
\begin{array}{l}
A \geq B\\A\leq -B
\end{array}
\right.
\\
\addlinespace
\midrule
\addlinespace
\sqrt{A}>B & \Leftrightarrow &
\left[
\begin{array}{l}
\begin{cases}B < 0\\A\geq 0\end{cases}
\\
\addlinespace
\begin{cases}B\geq 0\\A>B^2\end{cases}
\end{array}
\right. &
\sqrt{A}\geq B & \Leftrightarrow &
\left[
\begin{array}{l}
\begin{cases}B < 0\\A\geq 0\end{cases}
\\
\addlinespace
\begin{cases}B\geq 0\\A\geq B^2\end{cases}
\end{array} \right.
\\
\addlinespace
\bottomrule
\end{array}$
\end{document}

\arraystretch– egreg Jul 04 '16 at 14:56caseswith square brackets – Jul 04 '16 at 16:06