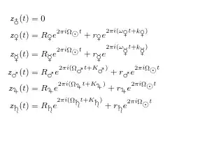
I'm mystified by why I can't generate a simple tabular set of equations using tabular. As far as I can tell my code follows the example in the documentation exactly, simply substituting some slightly more complex expressions for the entries in the table.
\documentclass[]{report}
\usepackage{wasysym}
\begin{document}
$$
\begin{tabular}{lcr}
z_{\earth}(t) &= 0 \\
z_{\venus}(t) &= R_{\venus} e^{2\pi i \Omega_{\astrosun} t} & + r_{\venus} e^{2\pi i (\omega_{\venus} t + k_{\venus})} \\
z_{\mercury}(t) &= R_{\mercury} e^{2\pi i \Omega_{\astrosun} t} & + r_{\mercury} e^{2\pi i (\omega_{\mercury} t + k_{\mercury})} \\
z_{\mars}(t) &= R_{\mars} e^{2\pi i (\Omega_{\mars} t + K_{\mars})} & + r_{\mars} e^{2\pi i \Omega_{\astrosun} t} \\
z_{\jupiter}(t) &= R_{\jupiter} e^{2\pi i (\Omega_{\jupiter} t + K_{\jupiter})} & + r_{\jupiter} e^{2\pi i \Omega_{\astrosun} t} \\
z_{\saturn}(t) &= R_{\saturn} e^{2\pi i (\Omega_{\saturn} t + K_{\saturn})} & + r_{\saturn} e^{2\pi i \Omega_{\astrosun} t}
\end{tabular}
$$
\end{document}
Why is my table getting errors? How do I get it to work?



arrayinstead but better would be to use, as you have tagged, theamsmathpackage and an environment such asalign*– David Carlisle Aug 25 '16 at 21:09aligned) but could't find a way to get control over left-right-center alignment in individual columns. Is there a way to do that? – orome Aug 25 '16 at 21:14=? It would look very odd with differing space to the left and right of the =? – David Carlisle Aug 25 '16 at 21:16$$directives in a LaTeX document. – Mico Aug 25 '16 at 21:50