I have a set of equations and I want to have them left-aligned instead of center-aligned. Also, I want them all to be numbered. I searched a bit and found that using flalign we can achieve this. But the results are not what I want. I want all the equations to start from the left at same position. What am I missing?
Here's the minimal working example showing what I have tried:
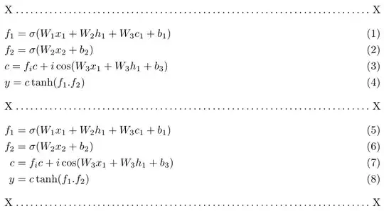
\documentclass{article}
\usepackage[fleqn]{amsmath}
\begin{document}
\begin{flalign}
f_1 = \sigma(W_{1}x_1+W_{2}h_{1}+W_{3}c_{1}+b_1) \\
f_2 = \sigma(W_{2}x_2+b_2) \\
c = f_i c+i\; \mathrm{cos}(W_{3}x_1+W_{3}h_{1}+b_3) \\
y=c\; \mathrm{tanh}(f_1.f_2)
\end{flalign}
\end{document}



alignenvironment. Also you should be using\cosfor the proper spacing. Same with\tanhwhich, to my surprise, does seem to be provided out of the box. For those which aren't, like artanh, you'll wanna add\DeclareMathOperator{\artanh}{artanh}to the preamble and then use\artanh– Au101 Oct 03 '16 at 20:04