2

I have seven different equations which I want to left align.

Below is the code I am using to align the equations:

\begin{equation}
\phi_{1} \; = \; n_{20} + n_{02}
\end{equation}

\begin{equation}
\phi_{2} \; = \; (n_{20} - n_{02})^2 + 4n_{11}^2
\end{equation}

\begin{equation}
\phi_{3} \; = \; n_{30} - n_{12}^2 + 3n_{21} - n_{03}^2
\end{equation}

\begin{equation}
\phi_{4} \; = \; n_{30} + n_{12}^2 + 3n_{21} + n_{03}^2
\end{equation}

\begin{multline}
\phi_{5} \; = \; (n_{30} - 3n_{12})(n_{30} + n_{12})[(n_{30} + n_{12}^2) -3(n_{30} + n_{12})^2] + (3n_{12} - n_{03})(n_{21} + n_{03})[3(n_{30} + n_ {12})^2 - (n_{21} + n_{03})^2]
\end{multline}

\begin{equation}
\phi_{6} \; = \; (n_{20} - n_{02})[(n_{30} + n_{12}^2) - (n_{21} + n_{03})^2] + 4n_{11}(n_{30} + n_{12})(n_{21} + n_{03})
\end{equation}

\begin{equation}
\phi_{7} \; = \; (3n_{21} - n_{03})(n_{30} + n_{12})[(n_{30} + n_{12})^2 - 3(n_{21} + n_{03})^2] + (3n_{12} - n_{30})(n_{21} + n_{03})[3(n_{30} + n_{12})^2 - (n_{21} + n_{03}^2)]
\end{equation}

I want the equations to be left align and evenly spaced on each line, i.e. if an equation is too long it should go on to the next line.

2 Answers2

2

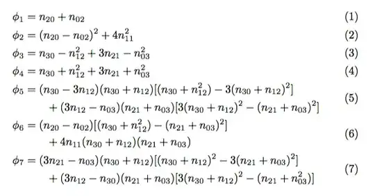
A single align environment seems right, plus additional line breaks for equations 5, 6, and 7; the second halves of these equations are indented (by the amount of \quad) relative to the first halves. Note that I've performed alignment on the = symbols, not full left-alignment.

enter image description here

\documentclass{article}
\usepackage{amsmath}
\begin{document}
\begin{align}
\phi_{1} &= n_{20} + n_{02}\\
\phi_{2} &= (n_{20} - n_{02})^2 + 4n_{11}^2\\
\phi_{3} &= n_{30} - n_{12}^2 + 3n_{21} - n_{03}^2\\
\phi_{4} &= n_{30} + n_{12}^2 + 3n_{21} + n_{03}^2\\
\phi_{5} &= (n_{30} - 3n_{12})(n_{30} + n_{12})[(n_{30} + n_{12}^2) -3(n_{30} + n_{12})^2] \notag\\
&\quad+ (3n_{12} - n_{03})(n_{21} + n_{03})[3(n_{30} + n_ {12})^2 - (n_{21} + n_{03})^2]\\
\phi_{6} &= (n_{20} - n_{02})[(n_{30} + n_{12}^2) - (n_{21} + n_{03})^2] \notag\\
&\quad+ 4n_{11}(n_{30} + n_{12})(n_{21} + n_{03})\\
\phi_{7} &= (3n_{21} - n_{03})(n_{30} + n_{12})[(n_{30} + n_{12})^2 - 3(n_{21} + n_{03})^2] \notag\\
&\quad+ (3n_{12} - n_{30})(n_{21} + n_{03})[3(n_{30} + n_{12})^2 - (n_{21} + n_{03}^2)]
\end{align}
\end{document}
Mico
  • 506,678
1

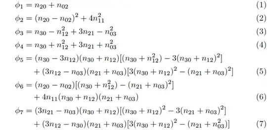
You can use align and split:

\documentclass{article}
\usepackage{amsmath}

\begin{document}

\begin{align}
\phi_{1} &= n_{20} + n_{02}
\\
\phi_{2} &= (n_{20} - n_{02})^2 + 4n_{11}^2
\\
\phi_{3} &= n_{30} - n_{12}^2 + 3n_{21} - n_{03}^2
\\
\phi_{4} &= n_{30} + n_{12}^2 + 3n_{21} + n_{03}^2
\\
\begin{split}
\phi_{5} &= (n_{30} - 3n_{12})(n_{30} + n_{12})[(n_{30} + n_{12}^2) -3(n_{30} + n_{12})^2] \\
         &\qquad+ (3n_{12} - n_{03})(n_{21} + n_{03})[3(n_{30} + n_ {12})^2 - (n_{21} + n_{03})^2]
\end{split}
\\
\begin{split}
\phi_{6} &= (n_{20} - n_{02})[(n_{30} + n_{12}^2) - (n_{21} + n_{03})^2] \\
         &\qquad+ 4n_{11}(n_{30} + n_{12})(n_{21} + n_{03})
\end{split}
\\
\begin{split}
\phi_{7} &= (3n_{21} - n_{03})(n_{30} + n_{12})[(n_{30} + n_{12})^2 - 3(n_{21} + n_{03})^2] \\
         &\qquad+ (3n_{12} - n_{30})(n_{21} + n_{03})[3(n_{30} + n_{12})^2 - (n_{21} + n_{03}^2)]
\end{split}
\end{align}

\end{document}

enter image description here

What's the difference with just align and \notag? The equation number in a split is vertically centered (unless the tbtags option is passed to amsmath).

egreg
  • 1,121,712