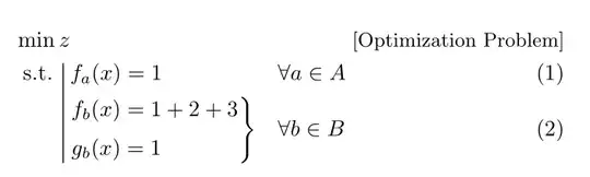
I have a list of equations in the array or align environment. My goal is to wrap a number of them with a right bracket and have an expression to the right of the bracket, and preserve the equation number on the right side of the page. Yow can see an example below. My current issues are:
I cannot control the alignment of the equations with the bracket. I would like these equations to begin at the same point.
The numbering of the equations with the bracket is lost.
Here is how I want my equations to look:
\begin{alignat}{3}
\text{min} \quad z & & \text{[Optimization Problem]}\nonumber \\
&\text{s.t. } \\
& f_a(x)=1 & \forall a \in A\\
&\left .
\begin{array}{cc}
&f_b(x)=1+2+3\\
&g_b(x)=1\\
\end{array}
\right \}&\forall b\in B
\end{alignat}




casesenvironment is similar to yours but with a left bracket). – Emma Nov 24 '16 at 22:17