Responding to original unedited question.
You can possibly scale it, e.g., \tikz[scale=0.6, every node/.style={transform shape}]. Or you can make the tree wider using distance between siblings, e.g., \begin{tikzpicture}[sibling distance=3em].
You could also use \sbox and then some shifting around. E.g.:
\documentclass[twocolumn]{report}
\usepackage[utf8]{inputenc}
\usepackage[T1]{fontenc}
\usepackage{float}
\usepackage{tikz}
\usetikzlibrary{matrix,chains,positioning,decorations.pathreplacing,arrows}
\usepackage{tikz-qtree}
\usepackage{tikz-qtree-compat}
\begin{document}
\begin{figure}[H]
\centering
\caption{Starting point}
\begin{tikzpicture}
\Tree [.$B$ [.$A$ {
\tikz{
\node[draw,circle](a){$\delta_1$};
\node[draw,circle,right of=a](b){$\delta_2$};
\node[draw,circle,above of=a](c){$\delta_3$};
\node[draw,circle,below of=a](d){$\delta_4$};
\draw[->] (a) -- (b);
}
} C ] [.$D$ E F ] ]
\end{tikzpicture}
\end{figure}
\begin{figure}[H]
\centering
\caption{Shifted}
\newsavebox\mysubpicA
\sbox{\mysubpicA}{%
\begin{tikzpicture}[remember picture, scale=1.0, every node/.style={transform shape}] %sub-picture
\node[draw,circle](a){$\delta_1$};
\node[draw,circle,right of=a](b){$\delta_2$};
\node[draw,circle,above of=a](c){$\delta_3$};
\node[draw,circle,below of=a](d){$\delta_4$};
\draw[->] (a) -- (b);
\end{tikzpicture}% needed, otherwise anchors are wrong!
}
\begin{tikzpicture}
\Tree [.$B$ [.$A$ \node[shift={(0,-\ht\mysubpicA)}](mysubpic){\usebox{\mysubpicA}};
C ] [.$D$ E F ] ]
\end{tikzpicture}
\end{figure}
\begin{figure}[H]
\centering
\caption{Wider and shifted}
\newsavebox\mysubpicB
\sbox{\mysubpicB}{%
\begin{tikzpicture}[remember picture, scale=1.0, every node/.style={transform shape}] %sub-picture
\node[draw,circle](a){$\delta_1$};
\node[draw,circle,right of=a](b){$\delta_2$};
\node[draw,circle,above of=a](c){$\delta_3$};
\node[draw,circle,below of=a](d){$\delta_4$};
\draw[->] (a) -- (b);
\end{tikzpicture}% needed, otherwise anchors are wrong!
}
\begin{tikzpicture}[sibling distance=3em]
\Tree [.$B$ [.$A$ \node[shift={(0,-\ht\mysubpicB)}](mysubpic){\usebox{\mysubpicB}};
C ] [.$D$ E F ] ]
\end{tikzpicture}
\end{figure}
\begin{figure}[H]
\centering
\caption{Wider, scaled and shifted}
\newsavebox\mysubpicC
\sbox{\mysubpicC}{%
\begin{tikzpicture}[remember picture, scale=.6, every node/.style={transform shape}] %sub-picture
\node[draw,circle](a){$\delta_1$};
\node[draw,circle,right of=a](b){$\delta_2$};
\node[draw,circle,above of=a](c){$\delta_3$};
\node[draw,circle,below of=a](d){$\delta_4$};
\draw[->] (a) -- (b);
\end{tikzpicture}% needed, otherwise anchors are wrong!
}
\begin{tikzpicture}[sibling distance=3em]
\Tree [.$B$ [.$A$ \node[shift={(0,-\ht\mysubpicC)}](mysubpic){\usebox{\mysubpicC}};
C ] [.$D$ E F ] ]
\end{tikzpicture}
\end{figure}
\end{document}

UPDATE 1
Here is an updated version (Figure 5) without shifting but with changed anchor. To get better layout inside the tree you have to change level distance. You can do it either globally as in the example or locally for one level (see 3.3 Node placement styles in tikz-qtree documentation).
\documentclass[twocolumn]{report}
\usepackage[utf8]{inputenc}
\usepackage[T1]{fontenc}
\usepackage{float}
\usepackage{tikz}
\usetikzlibrary{matrix,chains,positioning,decorations.pathreplacing,arrows}
\usepackage{tikz-qtree}
\usepackage{tikz-qtree-compat}
\begin{document}
\begin{figure}[H]
\centering
\caption{Starting point}
\begin{tikzpicture}
\Tree [.$B$ [.$A$ {
\tikz{
\node[draw,circle](a){$\delta_1$};
\node[draw,circle,right of=a](b){$\delta_2$};
\node[draw,circle,above of=a](c){$\delta_3$};
\node[draw,circle,below of=a](d){$\delta_4$};
\draw[->] (a) -- (b);
}
} C ] [.$D$ E F ] ]
\end{tikzpicture}
\end{figure}
\begin{figure}[H]
\centering
\caption{Shifted}
\newsavebox\mysubpicA
\sbox{\mysubpicA}{%
\begin{tikzpicture}[remember picture, scale=1.0, every node/.style={transform shape}] %sub-picture
\node[draw,circle](a){$\delta_1$};
\node[draw,circle,right of=a](b){$\delta_2$};
\node[draw,circle,above of=a](c){$\delta_3$};
\node[draw,circle,below of=a](d){$\delta_4$};
\draw[->] (a) -- (b);
\end{tikzpicture}% needed, otherwise anchors are wrong!
}
\begin{tikzpicture}
\Tree [.$B$ [.$A$ \node[shift={(0,-\ht\mysubpicA)}](mysubpic){\usebox{\mysubpicA}};
C ] [.$D$ E F ] ]
\end{tikzpicture}
\end{figure}
\begin{figure}[H]
\centering
\caption{Wider and shifted}
\newsavebox\mysubpicB
\sbox{\mysubpicB}{%
\begin{tikzpicture}[remember picture, scale=1.0, every node/.style={transform shape}] %sub-picture
\node[draw,circle](a){$\delta_1$};
\node[draw,circle,right of=a](b){$\delta_2$};
\node[draw,circle,above of=a](c){$\delta_3$};
\node[draw,circle,below of=a](d){$\delta_4$};
\draw[->] (a) -- (b);
\end{tikzpicture}% needed, otherwise anchors are wrong!
}
\begin{tikzpicture}[sibling distance=3em]
\Tree [.$B$ [.$A$ \node[shift={(0,-\ht\mysubpicB)}](mysubpic){\usebox{\mysubpicB}};
C ] [.$D$ E F ] ]
\end{tikzpicture}
\end{figure}
\begin{figure}[H]
\centering
\caption{Wider, scaled and shifted}
\newsavebox\mysubpicC
\sbox{\mysubpicC}{%
\begin{tikzpicture}[remember picture, scale=.6, every node/.style={transform shape}] %sub-picture
\node[draw,circle](a){$\delta_1$};
\node[draw,circle,right of=a](b){$\delta_2$};
\node[draw,circle,above of=a](c){$\delta_3$};
\node[draw,circle,below of=a](d){$\delta_4$};
\draw[->] (a) -- (b);
\end{tikzpicture}% needed, otherwise anchors are wrong!
}
\begin{tikzpicture}[sibling distance=3em]
\Tree [.$B$ [.\node(a){$A$}; \node[shift={(0,-\ht\mysubpicC)}](mysubpic){\usebox{\mysubpicC}};
C ] [.$D$ E F ] ]
\end{tikzpicture}
\end{figure}
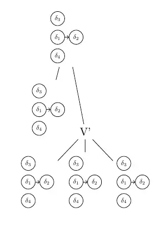
\begin{figure}[H]
\centering
\caption{Anchor north, scaled, wider with changed level distance}
\newsavebox\mysubpicD
\sbox{\mysubpicD}{%
\begin{tikzpicture}[remember picture, scale=.6, every node/.style={transform shape}] %sub-picture
\node[draw,circle](a){$\delta_1$};
\node[draw,circle,right of=a](b){$\delta_2$};
\node[draw,circle,above of=a](c){$\delta_3$};
\node[draw,circle,below of=a](d){$\delta_4$};
\draw[->] (a) -- (b);
\end{tikzpicture}% needed, otherwise anchors are wrong!
}
\begin{tikzpicture}[sibling distance=3em, level distance=1.5\ht\mysubpicD]
\tikzset{execute at begin node=\strut}
\tikzset{every tree node/.style={align=center,anchor=north}}
\Tree [.\(B\) [.\(A\) \node(subpic){\usebox{\mysubpicD}};
\(C\) ] [.\node(subpic)[]{\usebox{\mysubpicD}}; \(E\) \(F\) ] ]
\end{tikzpicture}
\end{figure}
\end{document}

cnode as baseline of the left picture containing the three nodes to align with the others node on the same level – Salim Bou Dec 15 '16 at 13:51\tikz[baseline=(c),every node/.append style={inner sep=1pt}]{.... – gernot Dec 15 '16 at 13:52