The visual distinction that TeX makes between a binary operator and a unary operator is apparent when the material is in display or text style math mode, but not when the material is in script or scriptscript style math mode. This is because \medmuskip -- the "skip" (horizontal whitespace) that's inserted around binary operators -- is zero for material in script and scriptscript style mode.
In cases such as yours, it may be best to use parentheses to provide visual grouping.
Even if the material is in text and display style math mode, using parentheses may be a good method for eliminating any chance for confusion.

\documentclass{article}
\begin{document}
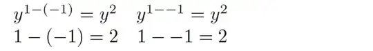
$y^{1-(-1)}=y^2 \quad y^{1--1}=y^2$
$1-(-1)=2\quad 1--1=2$
\end{document}
{}^{-}is probably as good as anything (you want that or{^-1}though otherwise-^-will superscript the infix-– David Carlisle Jan 30 '17 at 01:48-symbol to denote the binary operator and the second-symbol to denote the unary (negation) operator? (Both symbols are "operators".) – Mico Jan 30 '17 at 02:48