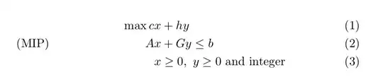
I'd like to reproduce the output seen below within the alignat environment:
So essentially I'm looking for a way to have some identifier on the left and vertically centred (as MIP is here). Sort of similar to the \tags often found on the right hand side of the output. I would prefer to still be able to use those right-hand tags along with any solution, if that is possible.



alignoralign*? In other words, do you want numbers on the right or not? – egreg Mar 04 '17 at 15:04