I have some equations that I have written inside the align environment. Because some of these equations are rather long, they tend to spill over the page. I have tried using the split environment inside the align environment to split some of these equations over two lines but this appears to break the code. I would be very grateful for some advice on how to modify my code in order to achieve the desired outcome. My (original) code and the output produced by LaTeX are shown below.
\documentclass[11pt]{book}
\usepackage{amsmath,amsfonts,amssymb,amsthm, bm}
\begin{document}
\begin{align}
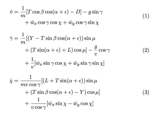
\dot{v} & = \dfrac{1}{m}[T\cos\beta\cos(\alpha+\epsilon)-D]-g\sin\gamma +\dot{w}_{x} \cos\gamma\cos\chi+\dot{w}_{y}\cos\gamma\sin\chi \\[2pt]
\dot{\gamma} & = \dfrac{1}{m}[(Y-T\sin\beta\cos(\alpha+\epsilon))\sin\mu + (T\sin(\alpha +\epsilon)+L)\cos\mu] - \dfrac{g}{v}\cos\gamma +\dfrac{1}{v}[\dot{w}_{x}\sin\gamma\cos\chi + \dot{w}_{y}\sin\gamma\sin\chi] \\[2pt]
\dot{\chi} & = \dfrac{1}{mv\cos\gamma}[(L+T\sin(\alpha+\epsilon) )\sin\mu + (T\sin\beta \cos(\alpha + \epsilon) - Y)\cos\mu] + \dfrac{1}{v\cos\gamma}[\dot{w}_{x}\sin\chi-\dot{w}_{y}\cos\chi]
\end{align}
\end{document}






multlinecommand? See http://tex.stackexchange.com/a/253965/117534 – Troy Mar 15 '17 at 15:05multlinebut with aligning. – Jānis Lazovskis Mar 15 '17 at 15:07&\qquad. – Andrew Swann Mar 15 '17 at 15:11