I used to be able to use MinionPro package with the option of using the integral sign minionint from the MinionPro font instead of the MnSymbol. Somehow, I must have messed up something as now the integral sign looks like this :
On a different PC (let's call it B), the integral sign is correctly rendered.
When I look into the log file when running a MWE I see that the file mn-integral.enc is called up in the B laptop, but not in the other one. Further, the file psfontst1.map has no record of that .enc file in the descriptions. However, it appears correctly in the folder
c:/Program files/MiKTeX/2.9/fonts/enc/dvips/MinionPro.
[Edit] With MiKTeX2.9 on Win7x64, Up to date [end edit] I did run initexmf --mkmaps after refreshing the file database. And updmap does have the Map MinionPro line.
What did I do wrong? How can I make the .enc file be read and used on the first PC (PC "A")?
MWE:
\documentclass{article}
\usepackage[T1]{fontenc}
\usepackage[minionint]{MinionPro} % fourierbb: fourier Black board fonts
% [minionint]: doesn't work
\begin{document}
\section{Some section title}
\subsection{Some subsection title}
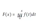
\begin{equation}
F(x) = \int_0^x f(t)dt
\end{equation}
\end{document}

psfontst1.mapis MikTeX specific. But, somebody might .... – cfr Mar 19 '17 at 02:10MinionProdoesn't appear to be distributed with TeXLive. Is it a commercial font package? If so, have you tried contacting the vendor for help? – Mico Mar 19 '17 at 08:31MinionPro. – Mico Mar 19 '17 at 09:21MinionPro.styaround. Which you need depends on which version of the fonts you have. Those aren't included in the package because they cannot be. I assume you have to install the fonts separately. For traditional compilation, they need to be converted. Moreover, what you get depends on what you have. Full coverage requires you buy the fonts. Partial coverage requires you convert fonts available with Adobe Reader, but only older versions permit this, legally. That is, it is very complicated. – cfr Mar 19 '17 at 14:16