I am using Anki (with LaTeX support), and have made a few fractions. However, the following doesn't work:
[$]
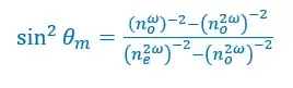
\sin^2 \theta_m = \frac{{(n^{\omega }_o)}^{-2} - {(n^{2\omega }_o)}^{-2}}
{{(n^{2\omega }_e)}^{-2}-{(n^{2\omega }_o)}^{-2}}
[/$]
I can get the four bracketed quantities to appear, with both sub- and super- script characters. However, when I add the two sets of { and } brackets around the numerator and denominator, the output fails to display. The desired look is this:
The error log says: "This is pdfTeX, Version 3.14159265-2.6-1.40.16 (MiKTeX 2.9)"
Edit: Provided answer has working solution, with the condition that the pair of curly braces, {{, have a space between them to prevent Anki from interpreting the following text as a field - i.e.,
\sin^2 \theta_m = {{(n^{\omega}_o)^{-2} - (n^{2\omega}_o)^{-2}}\over{(n^{2\omega}_e)^{-2}-(n^{2\omega}_o)^{-2}}}
Note that the latter pair of curly closing braces, }}, doesn't need a space as Anki isn't looking for these if the first pair, { {, has a space between the braces.

