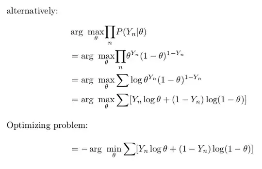
Here are a group of mathematical expressions:
$$arg\ \underset{\theta}{max} \underset{n}{\prod}P(Y_n|\theta)$$
$$=arg\ \underset{\theta}{max} \underset{n}{\prod}\theta^{Y_n}(1-\theta)^{1-Y_n}$$
$$=arg\ \underset{\theta}{max} \sum log\theta^{Y_n}(1-\theta)^{1-Y_n}$$
$$=arg\ \underset{\theta}{max} \sum[Y_n log\theta + (1-Y_n)log(1-\theta)] $$
Optimizing problem:
$$=-arg\ \underset{\theta}{min} \sum[Y_n log\theta + (1-Y_n)log(1-\theta)] $$
I am trying to align them to the left. I tried putting them inside %\begin{align*} ... % \end{align*} without $$ signs. But no luck.


