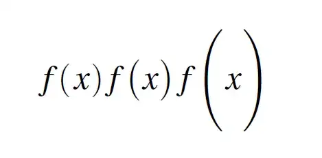
Observe the non-round shape of the parenthesis using the fourier package \usepackage{fourier} . In particular they are not round :
compare this to lmodern parenthesis which are round in shape

I'd like to replace the parenthesis used by the fourier font with a suitable compatible replacement which has a round shape.
It seems not trivial since I would have to replace every parenthesis shape and not just an individual symbol. I would like the fix to be compatible with usage of e.g. \bigl and so forth.


